GRAST(グラスト)とは
住友ゴムの制振技術「GRAST(グラスト)」が、
より安全で快適な暮らしをサポートします。
「GRAST」は高減衰ゴムを用いた住友ゴムの制振技術です。住友ゴムの高減衰ゴムは、揺れを受けて変形するとそのエネルギーを熱に変換します。この性質を利用して、構造物が受ける風揺れなどの小さな揺れから地震のような大きな揺れまで、さまざまな揺れを吸収・コントロールし、より安全で快適な暮らしをサポートします。
住友ゴム製高減衰ゴム制振ダンパーの特長
- 橋梁用ダンパーを始め、ビル用、住宅用とそれぞれの用途に対応する製品を展開
- 微小な揺れから巨大な揺れまでさまざまな揺れを低減
- 短周期から長周期までさまざまな構造物に適用可能
- 温度依存性が小さく-20℃から60℃まで安定した減衰性能を発揮
- 非常に剛性が高いのでコンパクトでも大きな減衰能力を発揮
- 繰り返し使用しても性能の変化が少ないことを実証※
- 構造がシンプルなため施工やメンテナンスが容易
※実大製品を使用した2016年8月住友ゴム工業(株)加古川工場での繰り返し試験の結果による。



高減衰ゴムの特長
高減衰ゴムとは
高減衰ゴムとは、通常のゴムよりもエネルギー吸収能力(減衰性能)が高いように設計されたゴム材料です。地震時などで変形した際に振動エネルギーを熱エネルギーに変換して吸収・散逸する特性があります。
高減衰ゴムの性能
なぜ、高減衰ゴムが高い減衰能力を発揮できるのか。それは高減衰ゴムの特殊な配合によります。
この配合により、粘弾性体の粘性減衰要素とばね要素(弾性要素)、摩擦減衰要素の3つの要素成分を高め、高い減衰能力を発揮できるのです。
技術データ
建築技術性能証明書を取得しています
住友ゴムのビル用粘弾性ダンパーは、(財)日本建築総合試験所にて、建築技術性能証明書を取得しています。
証明内容
(1) 粘弾性ダンパーの履歴特性値
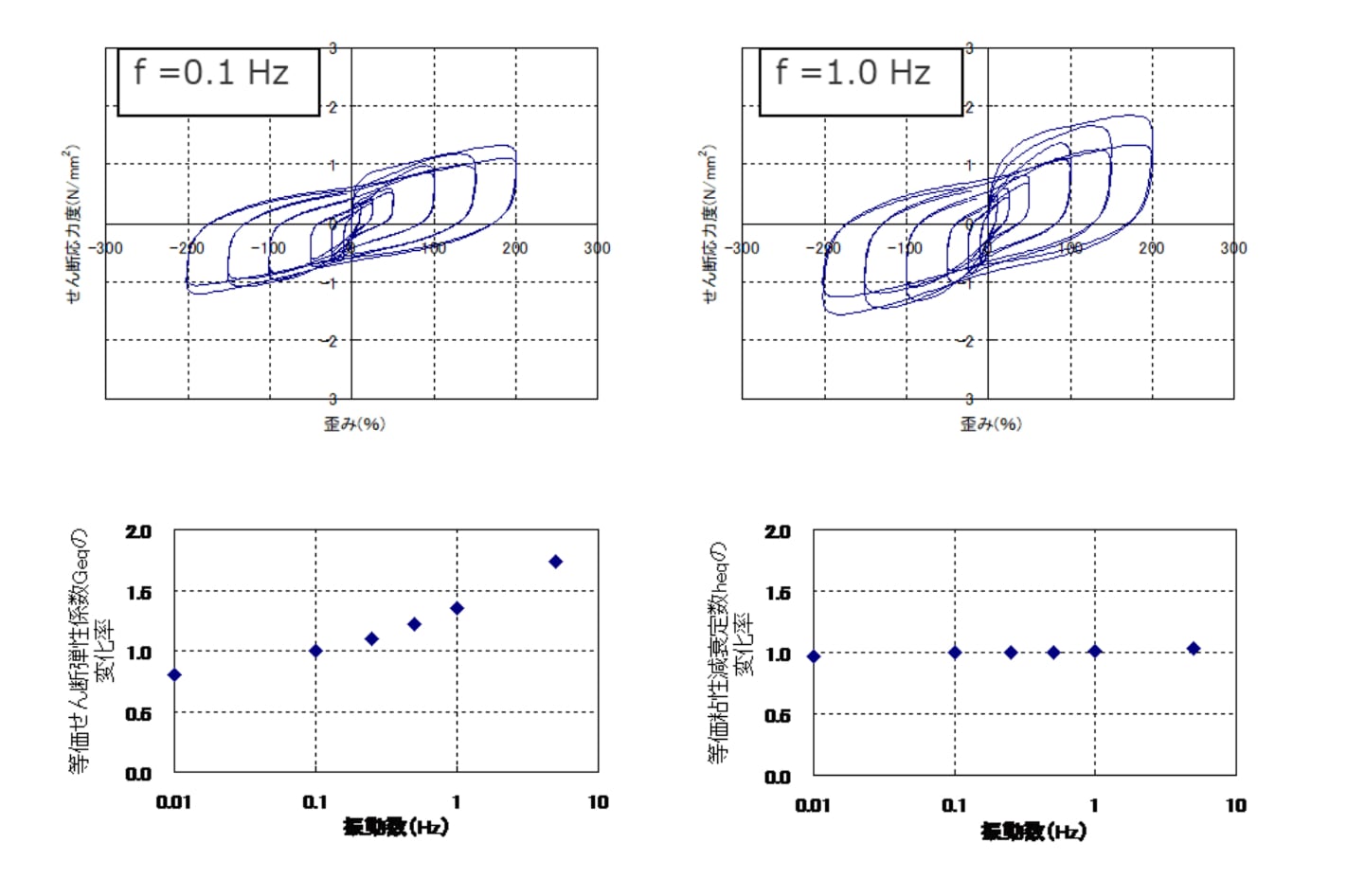
本粘弾性ダンパーは、技術の適用範囲において安定した履歴特性値(等価剛性、等価粘性減衰定数)を有している。
(2) 粘弾性ダンパーのモデル化
本粘弾性ダンパーの履歴特性は、技術適用範囲における歪み(振幅)・温度・振動数の条件に対して、改良三要素モデル(弾塑性要素、弾性要素、粘性要素)としてモデル化できる。
※モデルを汎用動的解析ソフトへ搭載。SNAP((株)構造システム)、SS21/dynamic PRO、3D dynamic(ユニオンシステム(株))、MIDAS(マイダス社)、RESP-D/F3T((株)構造計画研究所)、ETABS、SAP2000(Computers & Structures, Inc.)
京都大学との共同研究により裏付けられた耐震・居住性の向上効果
弊社では、京都大学大学院 工学研究科建築学専攻 環境構成学講座 地盤環境工学分野研究室と2005~2023年にかけて共同研究を行って参りました。この共同研究においては、住友ゴムの高減衰ゴムを高層建築物に組み込んだ場合の地震応答および風応答の低減効果を、極微小変形動的載荷実験などの実験的研究、および、等価線形解析などの理論的研究を通じて検証し、常時作用するような微小な風外乱から極めて稀に発生する大地震までの広い範囲にわたって、居住性に関連する加速度応答と、構造安全性に関連する変位応答をバランスよく低減させることが可能なことを明らかにしました。(1)(2)
(1) 辻聖晃、谷翼、竹脇出、松本達治:高硬度ゴム粘弾性ダンパーによる建築物の居住性能の改善、第12回 日本地震工学シンポジウム論文集CD-ROM、pp.970-973(2006)
(2) 辻聖晃、谷翼、鈴木ちひろ、吉富信太、竹脇出、松本達治:風に対する建物応答低減のための高硬度ゴムダンパーによる 極小振幅時付加減衰、第56回理論応用力学講演会講演論文集(2007)
大学等との共同研究
弊社では、この高減衰テクノロジー「GRAST」の更なる進化と、広く一般に普及させることを目指して、大学、各業種大手メーカー等、多方面・業界との共同研究を行っています。その成果として高層ビルや戸建住宅の制振装置、コンピューターの制振ラック等、さまざまな分野への実用化が進んでいます。今後も多くの方々との共同研究により、「GRAST」の無限の可能性を追求し続けていきます。
研究内容
京都大学大学院工学研究科建築学専攻・竹脇研究室と2005~2023年にかけて実施していた共同研究においては、住友ゴムの高減衰ゴム制振材を高層建築物に組み込んだ場合の地震応答および風応答の低減効果を、高減衰ゴムに対する極微小変形動的載荷実験などの実験的研究、および、等価線形解析などの理論的研究を通じて検証し、常時作用するような微小な風外乱から極めて稀に発生する大地震までの広い範囲にわたって、居住性に関連する加速度応答と、構造安全性に関連する変位応答をバランスよく低減させることが可能であることを明らかにしました。また、共同研究で定式化された高減衰ゴムの特性は、SNAP((株)構造システム)、SS21/DynamicPRO(ユニオンシステム(株))、MIDAS iGen(MIDAS IT社)、ETABS(Computers & Structures, Inc.)等の汎用ソフトウェアに組み込まれ、多くの構造設計ユーザーの皆様に利用いただいています。
共同研究者

京都大学名誉教授(建築構造)・工学博士
住友ゴムの高減衰ゴムダンパーの魅力は、(1)極小振幅から大きなエネルギー吸収が期待でき日常頻繁に発生する風に対して有効であること、(2)温度や振動数に対する依存性が他製品とは比べものにならないほど低く建築の構造設計で使いやすいこと、(3)種々の力学特性をもつダンパー材を自由自在に作ることができる点にあると思います。また、最近では、南海トラフ地震による大振幅・長継続時間地震動や断層近傍地震による長周期パルスなどの想定外の地震動に対する構造安全性が問題となっており、住友ゴムの高減衰ゴムダンパーはストッパー的な役割を果たすことができるのではないかと考えています。
これまでも種々の制振ダンパーを見てきましたが、住友ゴムの高減衰ゴムダンパーは制振構造の分野に革新をもたらす素晴らしい材料であると感じています。共同研究を一層発展させ、高層建物の居住性と安全性を飛躍的に向上させることで世の中に貢献したいと考えています。

京都大学 桂キャンパス
地震に対する防災・減災対策として、耐震性の観点から極めて稀に発生する地震に対して建物の構造安全性を確保するだけでなく、地震後の建物の継続使用性や早期復旧性を高めることも重要であると認識されつつあります。建物を安全・安心に利用するために、地震時の建物の剛性を高めることで揺れの大きさを小さくすること(=耐震)に加えて、早期に揺れを低減させること(=制振)が必要になります。
住友ゴムの高減衰ゴムは、小さな揺れから大きな揺れまで、幅広い振動領域においてエネルギーを熱に変換し、高いエネルギー吸収性能を発揮します。さらに、この高減衰ゴムを建物に組み込むことで剛性を付与でき、揺れを効果的に低減するだけでなく、地震などによって建物が損傷を受けた場合にも、構造安全性の大幅な低下を抑制することが可能です。本共同研究では、高減衰ゴムの材料特性を生かした種々の耐震・制振デバイスの開発および性能検証実験や建物に組み込む際の設計手法の構築を行っています。
弊社は阪神・淡路大震災と東日本大震災を経験した被災企業として、建物の安全対策の必要性を痛感しています。
この2回の被災経験を糧として、弊社関係者一同は『揺れを止める』を合言葉に、これまで永年にわたって培ってきた当社の高減衰ゴム材料を用いた制振技術「GRAST」の開発に尽力してきました。
大型斜張橋ケーブルの風揺れ対策用制振材は、高耐久性や優れた性能の安定性が評価され、現在では国内外の寒冷地から温暖地まで幅広く採用されています。また、東日本大震災直後に商品化した住宅用制震ユニット「MIRAIE」は、建物の揺れ幅を最大95%※低減する高い制振性能と優れた耐久性を有しており、震度7を2回経験した熊本地震においてその性能の確かさが証明されました。「MIRAIE」をはじめとした弊社の住宅用制振ダンパーは146,000棟以上(2025年8月末現在)の戸建住宅への納入実績につながっています。
最近では、台風や地震動による長周期振動が懸念される超高層ビル、長寿命や小型化が要求される伝統的建築物に至るまで幅広く適用されています。
今後もさまざまな分野において人々の暮らしに安心、安全と快適を提供できるよう開発を進めていきたいと考えています。今後とも住友ゴムの制振技術「GRAST」のご愛顧ならびに新規分野への適用に関するご提案を頂けますよう、どうぞよろしくお願い申し上げます。

執行役員/事業本部長
工学博士
松本 達治
※2017年1月京都大学防災研究所でのMIRAIE軸組を使用した実大実験の結果であり、 震度7相当の加振2回目の地震波に対する層間変形(揺れ幅)の比較による。




